ggragged

Lifecycle: stable R-CMD-check Codecov test coverage CRAN status

ggragged extends the faceting system in ggplot2 to ragged grids—a hybrid layout between facet_wrap() and facet_grid().

Installation

Install the current release from CRAN:

install.packages("ggragged")

Or the development version from GitHub:

remotes::install_github("mikmart/ggragged")

Example

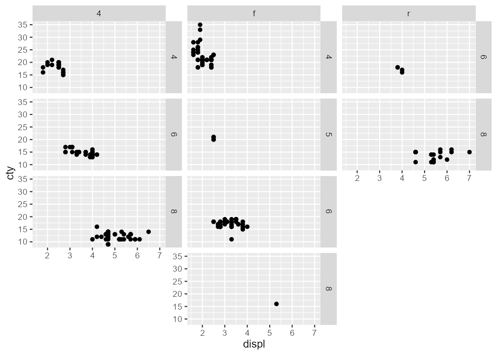
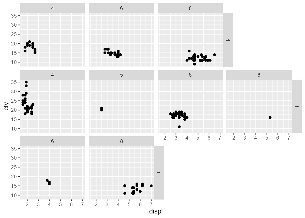
Ragged grids can be used to clearly separate nested hierarchies in the panel layout:

library(ggplot2)
library(ggragged)

p <- ggplot(mpg, aes(displ, cty)) + geom_point()
p + facet_ragged_rows(vars(drv), vars(cyl))

p + facet_ragged_cols(vars(cyl), vars(drv))