streamDepletr is an R package with functions for assessing the impacts of groundwater pumping on streams. There are two primary categories of functions:
hunt, glover, hantush,
intermittent_pumping)apportion_inverse,
apportion_web, apportion_polygon,
apportion_wedge)depletion_max_distance, prep_reach_dist,
streambed_conductance)Combined, these functions will allow the user to estimate the impacts of an existing or proposed well (or group of wells) on individual stream reaches within a stream network.
You can install streamDepletr from CRAN:
install.packages("streamDepletr")
Alternately, you can use devtools to install the
development version:
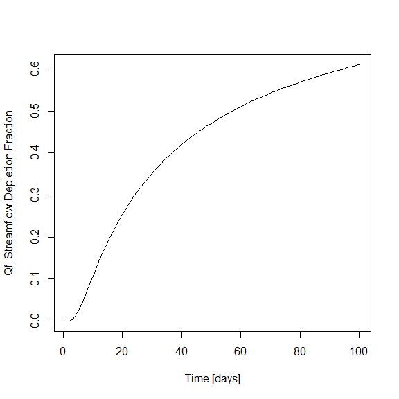
devtools::install_github("FoundrySpatial/streamDepletr", build_vignettes=T)Calculate and plot streamflow depletion as a fraction of the pumping
rate (Qf) over the 100 days of pumping:
require(streamDepletr)
#> Loading required package: streamDepletr
# calculate depletion fraction
Qf <- glover(t = seq(1,100), # timesteps to evaluate
d = 150, # well to stream distance
S = 0.10, # specific yield
Tr = 50*1e-5*86400) # 50 m thick aquifer with hydraulic conductivity of 1e-5 m/s
# plot
plot(seq(1,100), Qf, type="l", xlab="Time [days]", ylab="Qf, Streamflow Depletion Fraction")
For more examples, please check out the package vignette:
browseVignettes("streamDepletr")
streamDepletr was developed by Foundry Spatial Ltd. and the University of Victoria with support from the National Sciences and Engineering Research Council of Canada.